No podrá fundamentarse en un tratamiento discriminatorio, a excepción de aquellos casos en que la negativa esté basada en el cumplimiento de requisitos dispuestos en el marco legal y políticas internas que le fuera aplicable.
Cancelar anticipadamente el saldo de las operaciones activas total o parcialmente, con la consiguiente aplicación de los intereses que correspondan a la fecha de cancelación y sin penalidad alguna.
Obligaciones
Siempre que lo pactado esté conforme a los principios de transparencia contenidos en las presentes Normas y sobre otras disposiciones legales que al efecto emita el Ente Supervisor.
Consulta, queja o reclamo
Consulta: solicitud de información sobre cualquier tema relacionado con el consumo y que puede derivar, en función del resultado, en queja o reclamación.
Reclamo: es el derecho de petición que tiene un cooperativista que se vea afectado, ya sea por incumplimiento de los términos del contrato suscrito con una cooperativa, por cobros en exceso de lo pactado o por servicios no pactados o aceptados; o cuando han sido vulnerados sus derechos.
Conoce los antecedentes de la regulación
Historia
Originalmente las Cooperativas al igual que las Instituciones Bancarias se regían por la Comisión Nacional de Banca y Seguros, pero en la actualidad las Cooperativas se rigen por el Consejo Nacional Supervisor de Cooperativas (CONSUCOOP). Las Normas de Transparencia, fueron publicadas en el Diario Oficial la Gaceta el 20 de Diciembre de 2016. El nombre completo de estas normas es:
DERECHOS Y OBLIGACIONES DEL USUARIO COOPERATIVISTA
Derechos y Obligaciones
La Cooperativa en el marco de Normas de transparencia financiera y atención al Usuario Cooperativista, tiene derecho a presentar los descargos y recursos correspondientes, documentación justificativa y evidencias, en el proceso que surja del reclamo interpuesto ante el Ente Supervisor, dentro de las formas y plazos establecidos.
Entregar a los cooperativistas, copia de toda la documentación contractual que ha suscrito y detallar en la misma, las condiciones, plazos, derechos y obligaciones de las partes.
No realizar cobros por conceptos, servicios o productos que no han sido expresamente pactados por las partes;
Informar en un plazo no menor a treinta (30) días calendario de la fecha de pago y por un medio de comunicación eficaz, del cual se pueda conservar evidencia, sobre cualquier modificación posterior realizada, la tasa de interés, comisiones, precios u otros;
Entregar al cooperativista el recibo correspondiente al pago del servicio o producto pactado, con suficiente detalle sobre la forma en que fue aplicado, donde conste la imputación a capital, intereses y otros conceptos;
Desarrollar e implementar políticas y procedimientos, para el cumplimiento del trato diligente, profesional y oportuno al cooperativista y el monitoreo de la satisfacción de los mismos;
Adoptar las medidas de seguridad que garanticen las transacciones y la integridad de la información, identificando plenamente a los partícipes de las mismas
Derechos del usuario cooperativista
Toda persona que utilice los servicios o adquiera productos de la Cooperativa, tiene los derechos siguientes:
Se le proporcione información documental o electrónica, según lo autorice el cooperativista sobre los términos y condiciones del servicio y/o producto financiero que pretende adquirir.
Recibir un trato diligente y respetuoso por parte del personal de la Cooperativa, desde que se solicita la información y durante la obtención de la prestación de los servicios o productos;
Ser atendidos en el menor tiempo posible, independientemente del tipo de transacción u operación que realicen;
Contar las Cooperativas con los medios y procedimientos necesarios para proporcionar y difundir información sobre los productos y servicios ofrecidos a los cooperativistas, a través de personal debidamente capacitado;
Difundir las cooperativas, publicidad clara, veraz y precisa y que la misma contemple las condiciones del producto o servicio ofrecido.
Obtener en tiempo y forma el recibo correspondiente al pago del servicio o producto pactado, detallándose los conceptos a que se hayan aplicado los pagos;
Acceder a información clara y de fácil identificación sobre las tasas de interés, comisiones u otros conceptos de los servicios o productos financieros ofrecidos;
Contratar servicios y productos con plena libertad, sin presión de ninguna naturaleza;
Recibir justificación de la cooperativa sobre la negativa en la prestación de servicios o productos solicitados, la cual no podrá fundamentarse en un tratamiento discriminatorio, a excepción de aquellos casos en que la negativa esté basada en el cumplimiento de requisitos dispuestos en el marco legal y políticas internas que le fuera aplicable;
Disponer del dinero depositado, por lo que se prohíbe negar el acceso a los recursos depositados, a excepción de depósitos pignorados por operaciones de crédito, o por la disposición establecida en la ley, por lo que no se podrá aplicar cargos por inactividad de cuentas o mantenimiento de saldo menores a los requeridos. Cancelar anticipadamente el saldo de las operaciones activas total o parcialmente, con la consiguiente aplicación de los intereses que correspondan a la fecha de cancelación y sin penalidad alguna.
Poner a disposición los contratos y sus anexos, escritos de forma clara, con caracteres legibles y de fácil comprensión;
No efectuar cobros por gastos de cobranza extrajudicial, sin haber sido informado previamente de los mecanismos a emplearse y los conceptos por los que se cobrarán los mismos.
Obligaciones del usuario cooperativista
Los cooperativistas, dentro del ámbito de estas Normas, tendrán las obligaciones siguientes:
Conocer los derechos y obligaciones que se derivan de ser un cooperativista y de lo establecido en los contratos suscritos;
Cumplir con lo pactado en la forma, plazos y condiciones establecidas en los contratos; siempre que lo pactado esté conforme a los principios de transparencia contenidos en las presentes Normas y sobre otras disposiciones legales que al efecto emita el Ente Supervisor;
Proporcionar a las cooperativas información completa, veraz, íntegra y confiable; y,
Brindar un trato respetuoso al personal de la Cooperativa.
Debe de tener en cuenta lo siguiente:
La interposición de un reclamo ante la cooperativa o el Ente Supervisor, no exime al reclamante de cumplir con el pago de sus obligaciones; así como, los intereses corrientes y moratorios generados con anterioridad o posterioridad al reclamo, ni cualquier otro cargo que haya contratado expresamente con la Cooperativa.
Los valores sujetos de reclamo, serán reversados de forma temporal, a fin de efectuar el proceso de investigación respectivo. Sí, estos cargos resultaren legalmente correctos, procederá a aplicarlos nuevamente, caso contrario, la Cooperativa los eliminará en forma definitiva del saldo adeudado.
Hoja de Reclamación
La cooperativa tiene implementado en sus procedimientos Hojas de Reclamación, manteniéndolas a disposición de los cooperativistas en sus áreas de atención, con la leyenda: “Esta cooperativa mantiene Hojas de Reclamación del Cooperativista”, éstas cuentan de un original y dos copias.
Descarga nuestra hoja de reclamación para efectuar un reclamo
PROCEDIMIENTO PARA LA ATENCIÓN DE RECLAMOS ANTE LA COOPERATIVA
Para atender las reclamaciones, la Cooperativa debe:
Proporcionar la Hoja de Reclamación, para que el cooperativista la complete, cuyo original quedará en poder de la Cooperativa para su análisis correspondiente y para el control de los plazos y expedientes;
Entregar al cooperativista, las dos (2) copias con su acuse de recibo para los efectos correspondientes. En los casos, que los cooperativistas no puedan escribir o presenten incapacidad física y, a requerimiento de éste, el personal encargado podrá llenar la Hoja de Reclamación respectiva;
Mantener un archivo y registro de cada uno de los reclamos presentados y de la respuesta a los mismos, por un período no menor a cinco (5) años, contados a partir del día siguiente de la notificación de la respuesta emitida por la Cooperativa;
Analizar y resolver los reclamos dentro de un plazo máximo de quince (15) días hábiles contados a partir de la fecha de la recepción del reclamo, debiendo comunicar la respuesta por escrito al cooperativista, dentro de dicho plazo;
Brindar al cooperativista una respuesta escrita, la cual deberá ser:
Oportuna: Cumpliendo con los plazos previstos;
Íntegra: Considerando todos los aspectos analizados en el reclamo, exponiendo los aspectos técnicos y legales que sustenten el juicio de la cooperativa; y,
Comprensible: Permitiendo al cooperativista el entendimiento de la respuesta y en los casos que se requiera, incluir ejemplos de cálculos, gráficos y otros elementos.
Tasas activas y pasivas
Visualiza las tasas de interes activas y pasivas
La cooperativa en concepto de interés en contraprestación por la recepción de depósitos y otras obligaciones por un determinado período de tiempo establece tasas de intereses activas y pasivas desglosadas a continuación.
TASA DE INTERÉS ACTIVA: Es el rendimiento que reciben las cooperativas en concepto de interés en contraprestación por el otorgamiento de préstamos por un determinado período de tiempo.
Al respecto, las cooperativas, deberán:
Informar el Costo Anual Total (CAT) en toda la publicidad de sus operaciones activas, cualquiera sea el medio que se utilice para ello;
Incluir en la publicidad impresa, Costo Anual Total (CAT) con caracteres destacados en “negritas”, para su distinción y diferenciación respecto de las restantes variables, tales como tasas de interés, comisiones, bonificaciones, entre otros;
Difundir en la publicidad en audio el Costo Anual Total (CAT) con el mismo volumen y la misma velocidad que los utilizados para el resto de la publicidad;
Calcular el Costo Anual Total (CAT) de conformidad con la metodología establecida en las presentes normas;
Comunicar la tasa de interés variable, especificando el factor variable, forma de determinación y periodicidad de cambio; e,
Informar la tasa de interés moratoria y especificar a partir de cuándo la misma es aplicable, aclarando que dicha tasa operará sobre saldo vencido de capital e intereses corrientes. Asimismo, para las operaciones activas, los intereses moratorios no son capitalizables; por consiguiente, no se podrán cobrar intereses sobre intereses.
TASA DE INTERÉS PASIVA: Tasa que pagan las cooperativas en concepto de interés en contraprestación por la recepción de depósitos y otras obligaciones por un determinado período de tiempo.
Al respecto las cooperativas, deberán:
Informar la tasa de interés efectiva para operaciones a plazo fijo, conforme a los plazos y monedas utilizados; para lo cual, se tomará como base de cálculo para la tasa de interés efectiva el año de trescientos sesenta (360) días. Si las tasas de interés varían según el monto, deberá detallarse para cada tramo, las correspondientes tasas de interés;
Difundir la tasa de castigo aplicable por la cancelación anticipada de los depósitos a plazo fijo, explicando la base de cálculo y criterio para su aplicación. De contar con diferentes tasas de castigo, en función del plazo restante, plazo original, moneda y monto del depósito, deberá informarse de manera clara y de fácil comprensión;
Informar las tasas de interés nominales y efectivas anuales sobre los depósitos para las diferentes monedas y de los productos que ofrezcan;
Comunicar la tasa de interés variable, especificando el factor variable, forma de determinación y periodicidad de cambio; y,
Considerar la base de cálculo el año de trescientos sesenta (360) días
¿Cómo SE DETERMINA EL COSTO ANUAL TOTAL (CAT)?
¿Como se Determina el CAT?
Éste será determinado como la tasa que iguale el valor de los pagos efectuados por el cooperativista con los fondos recibidos, es decir aquella tasa de interés que iguala los pagos netos del crédito a cero y expresarlo en términos efectivos anuales y en tanto por ciento (%) con dos decimales.
Cálculo de Costo Anual Total (CAT)
El cálculo del CAT se realizará, así:
Cálculo del costo total de los fondos recibidos; y,
Transformación de dicha tasa en una tasa efectiva anual.
Para tal efecto, considerar el ejemplo contenido en el Anexo No. 4 de la ley de las presentes Normas.
Fórmula de cálculo de Costo Anual Total (CAT)
El cálculo del costo total de los montos recibidos, se realizará mediante el despeje de la tasa que iguala los pagos netos del crédito a cero, en función de la siguiente ecuación:0
Ecuación No. 1. Cálculo del costo total:
Donde:
Pt = t-ésimo Pago Netos (Pagos –Desembolsos).
N= número de pagos.
i =costo total, en términos nominales.
t = número de pago del crédito.
Σ= símbolo de sumatoria de datos.
Los pagos, Pt, incluyen el principal, los intereses y comisiones de acuerdo con las consideraciones que se detallan en estas Normas. Los desembolsos, incluyen la recepción de fondos por parte del cooperativista, neto de los gastos iniciales cobrados a los mismos, tales como los gastos de otorgamiento u otros.
En tal sentido, si al monto inicial se le efectuara algún descuento por el que el cooperativista percibiera una suma menor al monto del crédito, la fórmula deberá contemplarlo.
Se deberá despejar el costo total de la ecuación No. 1 (término i en la ecuación). Esta tasa es la que incluye todas las comisiones del crédito.
En función de la ecuación No.1 dicho costo queda expresado en términos nominales. Así mismo, arroja la tasa nominal en función de la frecuencia de pagos (la frecuencia de la tasa es igual a la frecuencia de los pagos realizados), por lo que deberá transformarse en términos efectivos anuales mediante el procedimiento establecido en el artículo precedente.
La ecuación No.1 supone una frecuencia de pagos constantes. Si los pagos programados se realizaran en frecuencia no periódicas corresponderá realizar el cálculo de la Tasa Interna de Retorno (TIR) no periódica. Dicha tasa ya se expresa en una tasa efectiva anual, por lo que no se aplica el procedimiento establecido en el artículo precedente.
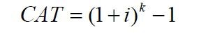
Transformación del Costo Total (CAT) en Tasa Efectiva Anual
Para ello, se deberá considerar, el procedimiento siguiente:
Ecuación No. 2. Transformación en Tasa Efectiva:
Donde;
i = Costo total obtenido mediante la ecuación No. 1.
k = Número de pagos en un año
CAT: Costo Anual Total (%), en términos de tasa de interés efectiva.
Supuestos para al Cálculo del Costo Anual Total (CAT)
Para el cálculo del CAT se deberán tener en cuenta las siguientes consideraciones:
Cuando se haya pactado una tasa de interés variable, los valores aplicados serán los correspondientes a la fecha de cálculo, suponiendo que dicho valor no varía durante la vigencia del contrato; y,
Este procedimiento se realizará bajo el supuesto de que se cumplen todas las condiciones pactadas, es decir, a título de ejemplo no se incluirán pagos anticipados o vencidos o cargos por incumplimientos y sí se incluirán aquellas bonificaciones por buen comportamiento que estén contractualmente acordadas.
Conceptos INCLUIDOS en el Costo Anual Total (CAT)
Para el cálculo del CAT, se deberá incluir:
El cobro y pago del principal;
Los intereses ordinarios;
Las comisiones por todos los conceptos relacionados con el otorgamiento y administración del crédito que se cobre por sobre la tasa ordinaria; y,
Descuentos y bonificaciones en caso de cumplir con las condiciones del contrato
Conceptos EXCLUIDOS en el Costo Anual Total (CAT)
El CAT no incluirá aquellos conceptos que la cooperativa no puede controlar. Es decir, aquellos que están determinados por factores totalmente ajenos a ella y no puede modificar. En ese sentido, para los efectos del cálculo del CAT, las cooperativas, deberán excluir:
Impuestos aplicables a la transacción;
Gastos originados en la valoración de bienes otorgados en garantía; y,
Gastos notariales por el registro y traslado de dominio
Calculadora de Préstamos - Apaguiz
Cooperativa de Ahorro y Crédito Apagüiz Limitada
Cálculo estimado de cuota de préstamo
Teléfono 2758-0350
Calculadora de Préstamos con Plan de Pago
Escriba el monto
Cuota Mensual: L 0.00
Descargo de Responsabilidad: El importe de pago que se muestra con esta calculadora es una estimación basada en la información que usted proporcionó.
Se brinda únicamente con fines ilustrativos y los importes reales pueden variar. Para conocer el valor exacto de su cuota
y las condiciones del crédito, contáctese con Cooperativa Apaguiz Ltda. Este cálculo no constituye una cotización oficial,
aprobación de préstamo, acuerdo ni asesoramiento financiero por parte de la Cooperativa. No considera su situación personal
ni financiera específica. Para los créditos Redescontados Fondos BANHPROVI, las tasas son cambiantes y deben ser establecidas únicamente en nuestras oficinas.
Incluye la aportación obligatoria (L 30.00 al mes) contemplada en la Ley de Cooperativas.